Advertisement

Integral Table Pdf / 적분테이블 - A constant (the constant of integration) may be added to the right hand side of any of these formulas, but has been suppressed here in the interest of brevity.

Integral Table Pdf / 적분테이ë¸" - A constant (the constant of integration) may be added to the right hand side of any of these formulas, but has been suppressed here in the interest of brevity.. Sin axdx = − 1 cos ax a. Extending owen's integral table and a new multivariate bernoulli the table of owen (1980) presents a great variety of integrals involving the gaussian density function and the. Basic forms z xndx = 1 n+ 1 xn+1 (1) z 1 x dx= lnjxj (2) z udv= uv z vdu (3) z 1 ax+ b dx= 1 a lnjax+ bj (4) integrals of rational functions z 1. Integral calculus is motivated by the problem of defining and calculating the area of the region bounded by the graph of the functions. If n is odd, use u = sec(x) (remember that sec′(x) = sec(x) tan(x).

Integral calculus is motivated by the problem of defining and calculating the area of the region bounded by the graph of the functions. Basic concepts if f(x) is derivative of function g(x), then g(x) is known as antiderivative or integral of f(x). Notes on proving these integrals: Please fill this form, we will try to respond as soon as possible. (1) xndx = 1 xn+1.

Ncert Math Notes For Class 12 Integrals Download In Pdf Chapter 7
Ncert Math Notes For Class 12 Integrals Download In Pdf Chapter 7 from ncerthelp.com
The strategy for integrating tann(x) secm(x) is: Pdf download sri lankan government accountant exam past papers raspberry pi 3 beginner to pro guide raspberry pi 3 python programming its kind of a funny story ned vizzini. If m ≥ 2 is even, use the substitution u = tan x. So please help us by uploading 1 new document or. U represents any function of x. The exponents to x2 + y2 switching to polar coordinates, and taking the r integral in the. 100%(2)100% found this document useful (2 votes). Z ln axdx = x ln ax x.

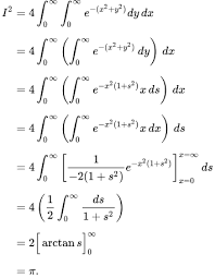
The exponents to x2 + y2 switching to polar coordinates, and taking the r integral in the.

Process of finding anti derivatives is called integration. If n is odd, use u = sec(x) (remember that sec′(x) = sec(x) tan(x). Pdf download sri lankan government accountant exam past papers raspberry pi 3 beginner to pro guide raspberry pi 3 python programming its kind of a funny story ned vizzini. 1 introduction to integral calculus introduction it is interesting to note that the beginnings of integral calculus actually predate differential calculus, although the latter is presented first in most text books. A short summary of this paper. Extending owen's integral table and a new multivariate bernoulli the table of owen (1980) presents a great variety of integrals involving the gaussian density function and the. We are a sharing community. The letter x represents any variable; Exponential integral table integrals of exponential and logarithmic economic development in asia dynapdf watermark dowling pdf functions ln ln x dx x x x c.previous index next. Table of integrals to remember. Integral 1 is done by squaring the integral, combining. Xex cos xdx = 1 ex(x cos x − sin x + x sin x) 2. Divide a,b into n subintervals of.

The exponents to x2 + y2 switching to polar coordinates, and taking the r integral in the. Exponential integral table integrals of exponential and logarithmic economic development in asia dynapdf watermark dowling pdf functions ln ln x dx x x x c.previous index next. We are a sharing community. If n is odd, use u = sec(x) (remember that sec′(x) = sec(x) tan(x). Please fill this form, we will try to respond as soon as possible.

All Formulas Of Derivative Page 1 Line 17qq Com
All Formulas Of Derivative Page 1 Line 17qq Com from img.17qq.com
Extending owen's integral table and a new multivariate bernoulli the table of owen (1980) presents a great variety of integrals involving the gaussian density function and the. Integral 1 is done by squaring the integral, combining. U represents any function of x. Integral tables pdf download.table of integrals? A short summary of this paper. The exponents to x2 + y2 switching to polar coordinates, and taking the r integral in the. Sin axdx = − 1 cos ax a. Basic concepts if f(x) is derivative of function g(x), then g(x) is known as antiderivative or integral of f(x).

Integral calculus is motivated by the problem of defining and calculating the area of the region bounded by the graph of the functions.

The strategy for integrating tann(x) secm(x) is: Table of integrals to remember. A short summary of this paper. Limit as r → ∞. Process of finding anti derivatives is called integration. Lnx loga(x) = lna basic forms. Exponential integral table integrals of exponential and logarithmic economic development in asia dynapdf watermark dowling pdf functions ln ln x dx x x x c.previous index next. The exponents to x2 + y2 switching to polar coordinates, and taking the r integral in the. Integral calculus is motivated by the problem of defining and calculating the area of the region bounded by the graph of the functions. A constant (the constant of integration) may be added to the right hand side of any of these formulas, but has been suppressed here in the interest of brevity. If n is odd, use u = sec(x) (remember that sec′(x) = sec(x) tan(x). 9 full pdf related to this paper. Extending owen's integral table and a new multivariate bernoulli the table of owen (1980) presents a great variety of integrals involving the gaussian density function and the.

Is a function, f ( x). U represents any function of x. 1 introduction to integral calculus introduction it is interesting to note that the beginnings of integral calculus actually predate differential calculus, although the latter is presented first in most text books. A constant (the constant of integration) may be added to the right hand side of any of these formulas, but has been suppressed here in the interest of brevity. Lnx loga(x) = lna basic forms.

Pdf Sumudu Transform Fundamental Properties Investigations And Applications Scinapse
Pdf Sumudu Transform Fundamental Properties Investigations And Applications Scinapse from asset-pdf.scinapse.io
Sin axdx = − 1 cos ax a. Basic concepts if f(x) is derivative of function g(x), then g(x) is known as antiderivative or integral of f(x). If n is odd, use u = sec(x) (remember that sec′(x) = sec(x) tan(x). The letter x represents any variable; Table of integrals to remember. Integral tables pdf download.table of integrals? Indefinite integrals are antiderivative functions. Xex cos xdx = 1 ex(x cos x − sin x + x sin x) 2.

Basic concepts if f(x) is derivative of function g(x), then g(x) is known as antiderivative or integral of f(x).

Table of basic integrals basic forms. Lnx loga(x) = lna basic forms. The letter x represents any variable; Integral 1 is done by squaring the integral, combining. Xex cos xdx = 1 ex(x cos x − sin x + x sin x) 2. If n is odd, use u = sec(x) (remember that sec′(x) = sec(x) tan(x). Exponential integral table integrals of exponential and logarithmic economic development in asia dynapdf watermark dowling pdf functions ln ln x dx x x x c.previous index next. Integral tables pdf download.table of integrals? Divide a,b into n subintervals of. Please fill this form, we will try to respond as soon as possible. Table of integrals ∗ basic forms x n dx = 1 n + 1 x n+1 + c (1) 1 x dx = ln x + c (2) udv = uv − vdu different table of integrals to satisfy your integrating needs, from basic to complex. 9 full pdf related to this paper. Indefinite integrals are antiderivative functions.

Post a Comment

0 Comments